Boletín DCV 335 – Metodología de cálculo de los intereses para los títulos indexados
En el marco del proyecto de modernización de la infraestructura tecnológica que soporta la prestación de los servicios del Depósito Central de Valores – DCV, a continuación, se presenta la metodología de cálculo de cupón de los títulos indexados:
- En la sección 1. Cálculo de la tasa indexada se describe el mecanismo de indexación de la tasa variable con el margen correspondiente según el tipo de título.
- En la sección 2. Cálculo de la tasa cupón se presenta el mecanismo de conversión de dicha tasa a su equivalente para el periodo de causación de intereses.
En la sección 3. Cálculo del valor del cupón corrido se consigna el procedimiento de aplicación de dicha tasa al monto de capital.
Agradecemos tener en cuenta esta formulación, particularmente en lo que tiene que ver con los redondeos de títulos indexados.
Cálculo de la tasa indexada:
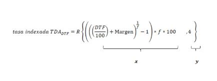
1.1. TDA indexados a la DTF (Clase A y clase B).

Donde:
DTF corresponde a la tasa de interés DTF expresada en términos efectivos anuales (porcentaje) conforme a lo establecido en la Resolución Externa 3 de 2000 de la Junta Directiva del Banco de la República y las demás disposiciones que la modifiquen, adicionen y/o complementen.
Margen corresponde al establecido en la Resolución Externa 3 de 2000 de la Junta Directiva del Banco de la República y las demás disposiciones que la modifiquen, adicionen y/o complementen.
f corresponde a la frecuencia de pago de cupón en el año. En el caso de los TDA, cuatro (4) o el que en un futuro se establezca.
R{x, y}
1.2. TDA indexados al IBR (Clase A y clase B).

Donde:
IBR corresponde a la tasa de interés IBR expresada en término nominal anual trimestre vencido (porcentaje) conforme a lo establecido en la Resolución Externa 3 de 2000 de la Junta Directiva del Banco de la República y las demás disposiciones que la modifiquen, adicionen y/o complementen.
Margen corresponde al establecido en la Resolución Externa 3 de 2000 de la Junta Directiva del Banco de la República y las demás disposiciones que la modifiquen, adicionen y/o complementen.
R{x, y} corresponde a la función redondeo en donde el argumento “x” indica el valor a redondear como expresión porcentual y el argumento “y” indica el número de decimales al que desea redondear el argumento “x”.
1.3. Bonos de Valor Constante Serie A (BVC.A)

Donde:
IPC corresponde a IPC expresado en términos efectivos anuales (porcentaje) conforme a lo establecido en la Circular Externa Operativa y de Servicios DFV -11 correspondiente al Asunto 62: "BONOS DE VALOR CONSTANTE "SERIE A" del Manual del Departamento de Fiduciaria y Valores, y las que en un futuro la sustituyan y/o complementen.
Margen corresponde al establecido en la Circular Externa Operativa y de Servicios DFV -11 correspondiente al Asunto 62: "BONOS DE VALOR CONSTANTE "SERIE A" del Manual del Departamento de Fiduciaria y Valores, y las que en un futuro la sustituyan y/o complementen.
R{x, y} corresponde a la función redondeo en donde el argumento “x” indica el valor a redondear como expresión porcentual y el argumento “y” indica el número de decimales al que desea redondear el argumento “x”.
1.4. Bonos de Valor Constante Serie B (BVC.B)

IPC corresponde a IPC expresado en términos efectivos anuales (porcentaje) conforme a lo establecido en la Circular Externa Operativa y de Servicios DFV -09 correspondiente al Asunto 1: "BONOS DE VALOR CONSTANTE "SERIE B" del Manual del Departamento de Fiduciaria y Valores, y las que en un futuro la sustituyan y/o complementen.
Margen corresponde al establecido en la Circular Externa Operativa y de Servicios DFV -09 correspondiente al Asunto 1: "BONOS DE VALOR CONSTANTE "SERIE B" del Manual del Departamento de Fiduciaria y Valores, y las que en un futuro la sustituyan y/o complementen.
f corresponde a la frecuencia de pago de cupón en el año. En el caso de los BVC serie B, dos (2).
R{x, y}corresponde a la función redondeo en donde el argumento “x” indica el valor a redondear como expresión porcentual y el argumento “y” indica el número de decimales al que desea redondear el argumento “x”.
1.5. Bonos para la Seguridad y Bonos para la Paz

Donde:
IPC clase media corresponde a IPC clase media expresado en términos efectivos anuales (porcentaje) conforme al establecido en la Circular Externa Operativa y de Servicios DFV -117 correspondiente al Asunto 55: " BONOS DE SOLIDARIDAD PARA LA PAZ LEY 487 DE 1998" y en la Circular Externa Operativa y de Servicios DFV -116 correspondiente al Asunto 50: " BONOS DE SOLIDARIDAD PARA LA SEGURIDAD" del Manual del Departamento de Fiduciaria y Valores, y las que en un futuro las sustituyan y/o complementen.
factor corresponde al establecido en la Circular Externa Operativa y de Servicios DFV -117 correspondiente al Asunto 55: " BONOS DE SOLIDARIDAD PARA LA PAZ LEY 487 DE 1998" y en la Circular Externa Operativa y de Servicios DFV -116 correspondiente al Asunto 50: " BONOS DE SOLIDARIDAD PARA LA SEGURIDAD" del Manual del Departamento de Fiduciaria y Valores, y las que en un futuro las sustituyan y/o complementen.
Margen corresponde al establecido en la Circular Externa Operativa y de Servicios DFV -117 correspondiente al Asunto 55: " BONOS DE SOLIDARIDAD PARA LA PAZ LEY 487 DE 1998" y en la Circular Externa Operativa y de Servicios DFV -116 correspondiente al Asunto 50: " BONOS DE SOLIDARIDAD PARA LA SEGURIDAD" del Manual del Departamento de Fiduciaria y Valores, y las que en un futuro las sustituyan y/o complementen.
R{x, y} corresponde a la función redondeo en donde el argumento “x” indica el valor a redondear como expresión porcentual y el argumento “y” indica el número de decimales al que desea redondear el argumento “x”.
- Cálculo de la tasa cupón

Donde:
tasa indexada corresponderá a la tasa calculada conforme a lo señalado en el numeral primero precedente.
d corresponde número de días de causación de intereses según la base de conteo definida para cada título:
- 30/360 para TDA indexados a la DTF, para BVC serie B y para Bonos para la Seguridad y Bonos para la Paz. Aquí se incluyen las emisiones vigentes al 31 de marzo de 2024 de TDA indexados al IBR.
- REAL/360 para TDA indexados al IBR a partir del 1 de abril de 2024.
m corresponde a la base de conteo. Será equivalente a 360 para los TDA, para BVC y para Bonos para la Seguridad y Bonos para la Paz.
f corresponde a la frecuencia de pago de cupón en el año. Para TDA este parámetro corresponderá a 4; para BVC serie B, a 2; y para BVC serie A y Bonos para la Seguridad y Bonos para la Paz, a 1.
R{x, y} corresponde a la función redondeo en donde el argumento “x” indica el valor a redondear como fracción decimal y el argumento “y” indica el número de decimales al que desea redondear el argumento “x”.
- Cálculo del valor del cupón corrido

Donde:
VN corresponde al valor nominal del título o saldos de capital, según corresponda.
Tasa cupón corresponderá a la tasa calculada conforme a lo establecido en el numeral segundo precedente.
R{x, y} corresponde a la función redondeo en donde el argumento “x” indica el valor a redondear como fracción decimal y el argumento “y” indica el número de decimales al que desea redondear el argumento “x”.


























