Ficha metodológica de Pulso Económico Regional (PER)
Nombre de la operación estadística y sigla: Pulso Económico Regional (PER)
Entidad responsable: Banco de la República
Tipo de operación estadística: muestreo no probabilístico
Antecedentes
El Banco de la República en su misión de preservar la capacidad adquisitiva de la moneda en coordinación con la política económica general, también cumple funciones especiales como la generación de conocimiento que contribuya a la toma de decisiones. De esta manera, en un país de regiones como lo es Colombia se consideró de alto interés ampliar el monitoreo y análisis de las economías locales, y responder a la demanda de información de mayor oportunidad, lo que llevó a la construcción del Pulso Económico Regional. Este indicador de corto plazo permite identificar las dinámicas y fluctuaciones coyunturales de las economías regionales y de su agregado nacional, a partir del seguimiento de algunas actividades económicas.
El Pulso se originó con la idea de implementar el "Beige Book" de la Reserva Federal de los Estados Unidos para el caso de Colombia. El Beige Book es un informe cualitativo de las condiciones económicas actuales de los doce distritos de la Reserva Federal, el cual se produce ocho veces al año, y se presenta dos semanas antes de la reunión del Comité Federal de Mercado Abierto. El objetivo es ponerlo a disposición de los directivos para la toma de decisiones de política económica. Los informes se construyen a partir de entrevistas a líderes empresariales, economistas, expertos de mercado y otras organizaciones que cada uno de los distritos recopila mediante métodos formales e informales. Las fuentes no son seleccionadas aleatoriamente, en cambio son escogidas cuidadosamente para recibir información precisa y objetiva sobre varias actividades económicas. Algunos sectores de seguimiento son industria (ventas, producción, inventarios, pedidos), comercio (ventas), agricultura (producción y demanda), construcción (venta de vivienda), banca y finanzas (préstamos), recursos naturales (producción de petróleo y gas), servicios personales (ingresos), salud (ingresos), educación (ingresos), empleo (empleo, salarios) y precios.
En esta perspectiva, el Banco de la República inició en 2010 la recopilación de información de la actividad económica en varias zonas del país; labor realizada por los siete centros regionales de estudios económicos con los que cuenta la institución en el territorio nacional. Este esquema permitió distinguir la diversidad y la dinámica de la economía del país según las zonas geográficas y las actividades de seguimiento. La recolección de la información se hace principalmente mediante sondeos de percepción realizados a través de entrevistas a líderes empresariales, quienes conocen en tiempo real el desempeño productivo de la empresa que representan, las condiciones de su entorno al cierre de cada período y las causas de los comportamientos que refieren. Los primeros reportes piloto se generaron para algunas zonas del país donde fue viable la realización de entrevistas a empresarios. Con el objetivo de alcanzar una cobertura lo más amplia posible en términos geográficos y económicos, la definición de actividades, regiones y variables de seguimiento se llevó a cabo teniendo en cuenta los estudios sobre la composición económica de cada una de las regiones del país, documento publicado en 2013 , y la factibilidad de acceder a la información con la oportunidad requerida. Lo anterior permitió determinar los marcos territoriales de referencia para estructurar el monitoreo a la coyuntura regional, determinante para el agregado nacional.
Posteriormente, de acuerdo con la necesidad de generar indicadores económicos a partir de los sondeos de percepción y hacer uso de las estadísticas disponibles, se perfiló la construcción de un indicador numérico. Así, a finales de 2012 se dio origen a la construcción y producción mensual del indicador de actividad económica denominado Pulso Económico Regional (PER), el cual se ha implementado de forma gradual para diferentes zonas geográficas del país, de acuerdo con la clasificación propia del Banco de la República: Antioquia, Suroccidente, Caribe, Nororiente, Central Cafetera y Llanos Orientales. La última jurisdicción incluida fue la región Bogotá en 2019, que representa más de una cuarta parte del PIB del país, lo que permitió monitorear la mayoría del territorio nacional.
Objetivo general
Elaborar mediciones económicas de corto plazo para siete regiones del país, seis actividades económicas y el agregado nacional, que permitan identificar sus dinámicas y fluctuaciones coyunturales; con un rezago aproximado de 20 días al cierre del mes de medición.
Objetivos específicos
- Calcular el indicador Pulso Económico Regional para siete regiones del país con periodicidad mensual.
- Calcular el indicador Pulso Económico Regional para el agregado nacional con periodicidad mensual.
- Calcular el indicador Pulso Económico Regional para seis actividades económicas nacionales con periodicidad mensual.
Alcance temático
La operación estadística del Pulso Económico Regional responde a la necesidad de disponer de indicadores económicos de corto plazo que permitan identificar la dinámica de las siete regiones del país y su agregado nacional a partir del seguimiento de seis actividades económicas. La definición de las regiones tuvo en cuenta las similitudes de la composición económica y la cercanía geográfica de los departamentos. Así mismo se optó por el seguimiento de seis actividades económicas tomando en consideración su relevancia en la composición económica regional y su viabilidad de acceso a la información.
Las zonas geográficas son:
- Antioquia
- Suroccidente (Valle del Cauca, Cauca y Nariño)
- Caribe (Atlántico, Bolívar, Magdalena, Córdoba, Cesar, Sucre, La Guajira y San Andrés)
- Nororiente (Santander, Norte de Santander y Boyacá)
- Central Cafetera (Caldas, Quindío, Risaralda, Tolima, Huila y Caquetá)
- Llanos Orientales (Meta y Casanare)
- Bogotá (Bogotá y Cundinamarca)
- Agregado nacional
Las actividades económicas de seguimiento son:
- Comercio
- Industria
- Transporte
- Agropecuario
- Financiero
- Vivienda
Conceptos básicos
Actividad económica: proceso o grupo de operaciones económicas para la producción de bienes o servicios, que pueden ser transferidos o vendidos a otras unidades, almacenados como inventario o utilizados por las unidades productoras para su uso final. (Fuente: Departamento Administrativo Nacional de Estadística DANE Clasificación Industrial Internacional Uniforme de todas las Actividades Económicas Revisión 4 Adaptada para Colombia (CIIU Rev. 4 A.C.)).
Producción agropecuaria: en los cultivos agrícolas se refiere a la cantidad total de producto obtenido de una superficie ocupada por plantas cultivadas de material vegetal: tallo, follaje o fruto, para consumo animal o humano; fibra, miel y látex, para uso industrial. En el caso de ganadería, se refiere a la cantidad total de animales y leche obtenidos en una superficie determinada, para consumo animal, humano e industrial. (Fuente: Departamento Administrativo Nacional de Estadística DANE – Metodología Encuesta Nacional Agropecuaria 2023).
Producción industrial: cantidad de productos elaborados y los subproductos y desechos que resultan de la producción y que se destinan a la venta, cantidad de productos manufacturados para terceros que entregan la materia prima. (Fuente: Banco de la República a partir de las definiciones del Departamento Administrativo Nacional de Estadística DANE – Metodología Encuesta Mensual Manufacturera con Enfoque Territorial 2020).
Ventas: cantidad de mercancías revendidas (compra y venta) por la empresa o establecimiento en el mes de referencia. (Fuente: Banco de la República a partir de definiciones del Departamento Administrativo Nacional de Estadística (DANE) - Metodología Encuesta Mensual de Comercio al por Menor y Comercio de Vehículos 2015).
Ocupación hotelera: porcentaje que equivale a dividir el número de habitaciones ocupadas entre el número de habitaciones disponibles por cien. (Fuente: Departamento Administrativo Nacional de Estadística (DANE) – Metodología Encuesta Mensual de Alojamiento 2023).
Desembolso de crédito: recursos provenientes de la transferencia de dinero a cambio de una promesa de pago en el futuro. (Fuente: Banco de la República a partir del glosario de la Superintendencia Financiera).
Empresa: entidad institucional en su calidad de productora de bienes o servicios. Es un agente económico con autonomía para adoptar decisiones financieras y de inversión y con autoridad y responsabilidad para asignar recursos a la producción de bienes y servicios y que puede realizar una o varias actividades productivas. (Fuente: Conceptos Armonizados de Colombia - DANE).
Establecimiento: empresa o parte de una empresa que, de manera independiente, se dedica exclusiva o predominantemente a un tipo de actividad económica en un emplazamiento o desde un emplazamiento o dentro de una zona geográfica, y respecto de la cual, como unidad estadística de observación, existen o pueden recopilarse con alguna precisión datos que permiten analizar los sectores económicos de interés. (Fuente: basado en Conceptos Armonizados de Colombia - DANE).
Indicador: expresión cuantitativa observable y verificable, que permite describir características, comportamiento o fenómenos de la realidad, a través de la medición de una variable o relación entre variables. (Fuente: Departamento Administrativo Nacional de Estadística DANE - Departamento Nacional de Planeación DNP).
Oportunidad: se refiere al tiempo que transcurre entre la ocurrencia del fenómeno de estudio y la publicación de la información estadística, de tal manera que sea útil para la toma de decisiones. (Fuente: Oficina Estadística de las Comunidades Europeas (Eurostat). (2013)).
Rezago: indica el retraso en unidades de tiempo de la difusión de la información estadística respecto al tiempo en el que ocurre el fenómeno de estudio.
Cambio anual: resultado de la comparación del nivel de una variable en el mes de referencia (t) versus el nivel de esa misma variable doce meses atrás (t-12); este resultado puede ser positivo (aumento), negativo (caída) o nulo (estable).
Reescalonamiento: técnica que consiste en cambiar los valores de una variable a otra escala, sin alterar la relación proporcional que existe entre ellos. Permite comparar variables de diferentes magnitudes y ajustarlas a un rango o intervalo específico.
Ponderar: asignar un peso a cada elemento de un conjunto según su relevancia con el fin de obtener una medición ponderada.
Dinámica económica: evolución o cambio de los fenómenos económicos a través del tiempo, comparándolos con resultados que acontecieron en un tiempo anterior.
Sondeo de percepción: tipo específico de sondeo que tiene como objetivo conocer la apreciación de una muestra de individuos sobre un tema de medición. Puede ser realizado a través de entrevista, encuesta o cuestionario, entre otros mecanismos.
Panel de datos: recolección de observaciones de un fenómeno a lo largo de diferentes períodos de tiempo para el mismo grupo de unidades o entidades, lo que permite controlar su heterogeneidad y analizar la evolución del fenómeno de estudio.
Variables
Volumen de producción industrial y agropecuaria, volumen de ventas del comercio, venta de vivienda nueva en unidades, número de transacciones inmobiliarias de vivienda, porcentaje de ocupación hotelera, número de pasajeros salidos y volumen de carga despachada por modalidad aérea y terrestre, número de pasajeros movilizados en sistemas masivos de transporte urbano y montos de desembolsos de crédito.
Indicadores
Pulso Económico Regional (PER) para siete regiones
El Pulso Económico Regional representa el cambio anual del conjunto de actividades económicas de medición para cada zona geográfica (no corresponde a una variación porcentual). El indicador se construye a partir de dos tipos de información: la cualitativa, que representa la mayor proporción y que se recoge mediante sondeos de percepción realizados a los representantes de las fuentes, y la cuantitativa que se deriva de datos públicos y privados desagregados por regiones. A cada tipo de información se le aplica un procedimiento particular para su estandarización y fusión.
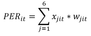
Las categorías de respuesta de los sondeos de percepción son aumento, caída o estabilidad, y a su vez, las dos primeras opciones se clasifican en leve, moderado, significativo o muy significativo, asignando a cada una de estas un valor entre -1 y 1, con un diferencial de 0,25 entre cada clasificación. Por su parte, la información cuantitativa se reescalona, es decir, las variaciones anuales se transforman para llevar el resultado al intervalo [-1,1], empleando las distancias entre los valores máximos y mínimos. A partir de lo anterior, el resultado de la actividad económica j en la región i (xjit) se calcula como una suma ponderada de cada respuesta, teniendo en cuenta la participación de la empresa o establecimiento en la actividad económica en la que opera. Una vez calculada la actividad j en la región i, el Pulso Económico Regional de cada zona geográfica es la suma ponderada de los resultados de las actividades de seguimiento, teniendo en cuenta el valor agregado del PIB regional:

Donde PERit es el resultado del indicador de la región i en el periodo t, siendo xjit el resultado de la actividad jésima de la región i en el periodo t, y wjit el ponderador de la actividad jésima dentro de la estructura productiva de la región i, con ∑6j=1wjit =1. De esta manera, el nivel del Pulso oscila entre -1 y 1, donde valores por debajo de cero muestran un cambio anual negativo para la región, por encima de cero un cambio anual positivo y valores igual a cero indican que no hubo cambio anual. El valor extremo -1 se interpreta como un cambio anual negativo atípico, y el valor extremo 1 se interpreta como un cambio anual positivo históricamente alto. Estos cambios anuales no corresponden a variaciones porcentuales.
Pulso Económico Regional (PER) agregado nacional y por actividad
El indicador nacional (PERt) representa el cambio anual del conjunto de las economías regionales (no corresponde a una variación porcentual). La metodología tiene en cuenta el peso de la estructura productiva regional dentro de la nacional, según el valor agregado del PIB, así, el cálculo del indicador corresponde a la suma ponderada de los resultados del indicador de cada región (PERit):

Donde PERt es el resultado del indicador agregado nacional en el periodo t, PERit es el resultado del indicador de la región i en el periodo t, y zit es el ponderador de la región i en el periodo t, dentro de la estructura productiva nacional, con ∑i=17zit =1.
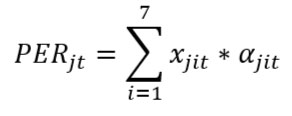
De manera similar, se construyen los indicadores agregados de cada actividad para el total nacional. El indicador de cada actividad económica nacional es la suma ponderada de los xjit, de acuerdo con la participación de la actividad j de la región i en el valor agregado nacional de la actividad j en el periodo t.

Donde PERjt corresponde al resultado del indicador de la actividad j para el total de las siete regiones en el período t, xjit es el resultado del indicador de la actividad j de la región i en el periodo t, y αjit es la ponderación de la actividad j de la región i en el periodo t, con ∑i=17αjit=1.
Universo de estudio
Está conformado por las empresas, establecimientos, gremios e instituciones que desarrollan las actividades económicas de seguimiento en las zonas geográficas de cobertura en el país.
Población objetivo
Está conformado por las empresas, establecimientos, gremios e instituciones que desarrollan alguna(s) de las seis actividades económicas de seguimiento y que operan en alguna(s) de las siete regiones del país.
Unidades estadísticas
- Unidad de observación: empresas, establecimientos, gremios e instituciones de las seis actividades económicas que operan en alguna de las siete regiones del país.
- Unidad de análisis: empresas, establecimientos, gremios e instituciones.
- Unidad de muestreo: empresas, establecimientos, gremios e instituciones de las seis actividades económicas de seguimiento en las siete regiones del país.
Marco muestral
Se conforma a partir de las bases empresariales de la Superintendencia de Sociedades, Superintendencia Financiera, Superintendencia de Transporte, Cámaras de Comercio y del conocimiento de los expertos de los Centros Regionales de Estudios Económicos sobre la composición económica, sectorial y empresarial de cada región.
Fuentes
Empresas, establecimientos, gremios e instituciones nacionales y locales.
Tamaño de muestra
No aplica.
Diseño muestral
El diseño muestral corresponde a un muestreo no probabilístico por juicio. Los elementos de la muestra se seleccionan según el conocimiento, experiencia y criterio del investigador del Pulso. El Banco de la República cuenta con un grupo de especialistas quienes poseen un amplio conocimiento de la composición sectorial y empresarial de cada zona geográfica del país, lo que permite tener claridad de las características de los elementos muestrales que se requieren para hacer el estudio de la dinámica de las economías regionales. A partir de este conocimiento y la disponibilidad de estadísticas empresariales y sectoriales que brindan entidades como la Superintendencia de Sociedades, Superintendencia Financiera, Superintendencia de Transporte, cámaras de comercio, entre otros, se construye un marco muestral de las regiones y actividades económicas de medición.
Los criterios de selección de fuentes de información incluyen, entre otros:
- Cubrir los principales productos o agrupaciones de productos por actividad económica en cada región.
- Seleccionar empresas y establecimientos de mayor representatividad en cada actividad económica por región.
- Incluir gremios, instituciones, cooperativas o entidades que agrupan varias empresas o establecimientos de una misma actividad.
De esta manera, la selección de los elementos muestrales se hace bajo criterios objetivos teniendo en cuenta el alcance temático del estudio, logrando así en los últimos años un promedio mensual mil cien (1.100) fuentes de información. Este número puede variar entre periodos dada la naturaleza operativa de la recolección de la información, los ajustes de coberturas sectoriales y regionales, y los criterios de selección.
Los investigadores del Pulso tienen una comunicación permanente con los directivos y empresarios representativos de la región, lo que permite tener un alto grado de continuidad en las respuestas de los sondeos de percepción. Adicionalmente, dado que el interés de la medición es manejar una muestra tipo panel, estas relaciones minimizan la rotación natural de las fuentes. De manera complementaria, esta interacción permite obtener información específica sobre explicaciones a ciertos comportamientos referidos, lo que contribuye al análisis de resultados.
El esquema de ponderación para el indicador tiene tres componentes. El primero corresponde al ponderador de cada una de las fuentes de información, para calcular el resultado por actividad económica en cada región, el cual se determina de acuerdo con la participación que tiene cada fuente en el marco muestral. El segundo ponderador se establece a partir del valor agregado de cada actividad en la región, de acuerdo con el alcance temático, para obtener el indicador total regional. El tercer ponderador está determinado por la participación de cada región en el valor agregado nacional para calcular los resultados del total nacional y por actividad económica. El año base de las diferentes ponderaciones corresponde a 2013.
Para evaluar la calidad de los indicadores se establecen diversas estrategias y procedimientos, entre ellas, el seguimiento periódico a las respuestas y permanencia de las diferentes unidades de análisis, revisión y análisis de resultados de los indicadores y su seguimiento frente a otras estadísticas económicas disponibles.
Mantenimiento de la muestra
- Envío mensual de los resultados del Pulso Económico Regional a las fuentes del sondeo de percepción, en retribución a su participación.
- Remisión de documentos económicos públicos y de interés para los empresarios, gremios e instituciones que son fuentes para el Pulso.
- Contacto permanente con los líderes empresariales de las diferentes regiones.
- Participación empresarial en comités consultivos del Banco de la República.
- Interacción en actividades institucionales y gremiales de contexto económico.
- Divulgación de servicios de tesorería, oferta cultural y de educación económica que tiene el Banco de la República en las diferentes regiones del país.
- Validación periódica de las respuestas de los sondeos de percepción.
- Seguimiento de resultados del Pulso Económico Regional frente a estadísticas disponibles sobre el desempeño económico o indicadores relacionados.
- Incorporación continua de nuevas empresas, establecimientos, gremios e instituciones teniendo en cuenta la revisión periódica del indicador, la necesidad de refuerzo sectorial y regional, y el surgimiento de nuevas fuentes disponibles.
Información auxiliar
Los indicadores del Pulso Económico Regional se contrastan con variables de las operaciones estadísticas con alcance temático regional y nacional como el ISE, PIB, EMMET, EMCM e ITAED del Departamento Administrativo Nacional de Estadística, IMAE y EMEE del Banco de la República, Índice de Consumo de Bancolombia, Boletín Estadístico SICOM del Ministerio de Minas y Energía, Operación de tráfico y recaudo de peajes de la Agencia Nacional de Infraestructura, Sistema de Información Eléctrico Colombiano de la Unidad de Planeación Minero Energética y Estadísticas de actividad aeronáutica de la Aeronáutica Civil, entre otras.
Cobertura geográfica
Regional y nacional
Periodo de referencia
Mensual. Los resultados del Pulso Económico Regional se refieren al mes calendario inmediatamente anterior al periodo de publicación de resultados.
Periodo de recolección/acopio
La información para el Pulso Económico Regional se recolecta durante los primeros 12 días hábiles del mes inmediatamente siguiente al período de referencia.
Método de recolección o acopio
Sondeos de percepción realizados a través de diferentes mecanismos: entrevista personal, medio telefónico, mensajería instantánea y correo electrónico; adicionalmente, descargas digitales de información desde las páginas web oficiales de diferentes entidades.
Desagregación de resultados
Desagregación geográfica:
- Antioquia
- Suroccidente (Valle del Cauca, Cauca y Nariño)
- Caribe (Atlántico, Bolívar, Magdalena, Córdoba, Cesar, Sucre, La Guajira y San Andrés)
- Nororiente (Santander, Norte de Santander y Boyacá)
- Central Cafetera (Caldas, Quindío, Risaralda, Tolima, Huila y Caquetá)
- Llanos Orientales (Meta y Casanare)
- Bogotá (Bogotá y Cundinamarca)
- Agregado nacional
Desagregación por actividad económica:
- Comercio
- Industria
- Transporte
- Agropecuario
- Financiero
- Vivienda
Frecuencia de entrega de resultados
Mensual.
Periodos disponibles para los resultados
Resultados regionales
- Pulso Económico Regional de las regiones Suroccidente y Antioquia desde diciembre de 2012.
- Pulso Económico Regional de las regiones Nororiente, Caribe, Central Cafetera y Llanos Orientales, desde diciembre de 2015.
- Pulso Económico Regional de la región Bogotá desde enero de 2019.
Resultados nacionales
- Pulso Económico Regional agregado nacional desde diciembre de 2012.
- Pulso Económico Regional nacional de las actividades industria y comercio desde diciembre de 2012.
- Pulso Económico Regional nacional de las actividades agropecuaria, transporte, vivienda y financiero desde diciembre de 2015.
Medios de difusión y acceso
Portal web del Banco de la República (www.banrep.gov.co), redes sociales del Banco de la República y a través de correos electrónicos institucionales.
Control de documentos
Elaborado por: Sección Sucursales Regionales de Estudios Económicos
Revisado por: jefe Sección Sucursales Regionales de Estudios Económicos, DTIE
Aprobado por: director Departamento Técnico y de Información Económica, DTIE
Fecha de aprobación: 13 de diciembre de 2023
Historial de cambios: Versión 1 (13/12/2023). Versión inicial del documento.


























